Stor存储网消息,为技术计算、HPC 或 AI、分析和云环境部署解决方案可能会给 IT 带来沉重的负担。

借助适用于 IBM Spectrum Scale (DSS-G) 的联想分布式存储解决方案,客户可以将精力集中在最大限度地利用用户时间上,而不是消耗宝贵的资源来设计、优化、安装和支持满足用户需求所需的基础架构。
DSS-G 通过联想可扩展基础设施 (LeSI) 实现,利用数十年来为客户简化复杂部署的经验。DSS-G 提供集成、交付和完全支持的解决方案,将最佳行业组件与优化的解决方案设计相匹配,提供可扩展的解决方案,以满足数据中心的高性能存储需求。
强大的组合
DSS-G 将 ThinkSystem 服务器和联想磁盘机箱的性能与 Spectrum Scale 软件相结合,为现代存储需求提供高性能、可扩展的构建块方法。Lenovo DSS-G 支持 IBM Spectrum Scale 的 3 个版本:
- 
	IBM Spectrum Scale Data Access Edition (DAE) 在 Linux 环境中提供基本 GPFS 功能,包括信息生命周期管理 (ILM)、活动文件管理 (AFM) 和集群 NFS (CNFS)。 
- 
	IBM Spectrum Scale Data Management Edition (DME) 提供 Data Access Edition 的所有功能以及异步多站点灾难恢复、本机加密支持、透明云分层等高级功能。 
优化设计
DSS-G 采用配备 AMD EPYC 9004 系列处理器的 ThinkSystem 服务器、联想 24Gb SAS 存储机箱和驱动器、软件和网络组件,允许在集成解决方案中提供多种技术选择,可在预集成机架中提供或部署在现有客户机架中。
每个解决方案都经过测试和优化,以确保可靠性、互操作性和最佳性能,因此客户可以快速部署系统并开始实现其业务目标。借助 DSS-G 的高存储密度和 I/O 性能,您可以获得基于 Spectrum Scale 的大容量存储架构的所有可靠性、集成和互操作性。
提高结果
客户正在扩大技术计算和 HPC/AI 的使用范围,以解决复杂的问题。这些环境需要高容量存储、低延迟数据访问以及在磁盘故障时快速重建,以保持数据完整性和系统可用性。
作为联想可扩展基础设施 (LeSI) 产品组合不可或缺的一部分,联想 DSS-G 的解聚 RAID 功能提供了性能、可靠性和数据完整性,重建时间比基于控制器的存储快 8 倍。DSS-G 为 Spectrum Scale 提供了一种模块化构建块方法,具有近乎线性的性能和容量扩展,同时维护了一个全局命名空间,使用户能够将所有内容视为单个存储集群。这些功能使用户能够快速将系统投入使用,并随着新的存储需求轻松增长,并提高他们的整体工作效率。
端到端支持
该公司的 DSS-G 是作为整体 LeSI 部署的一部分构建、测试、交付和支持。您将获得单点联系解决方案级支持,其中包括在系统的整个生命周期内提供最大系统可用性的组件。这使您能够花更少的时间部署和维护系统,而将更多的时间用于交付结果。
联想 DSS-G 特点:
- 高性能存储的可扩展构建块方法
- 多种配置,可优化容量和性能
- AMD EPYC 9004 系列处理器
- 联想 D4390 高密度存储机箱,带 90 个 12、14、16、18、20、22TB NL SAS 驱动器(3.5 英寸外形尺寸)
- 联想 D1224 存储机箱(2.5 英寸外形尺寸),配备 24 个 SSD (400GB – 7.68TB)
- 可选择 10GbE/25GbE/40GbE/100GbE/200GbE/400GbE,或 HDR100、HDR、NDR200、NDR400 最新一代 InfiniBand
- 解集群 RAID,可实现持续、可预测的性能和快速重建
- 无硬件控制器 – 由 Spectrum Scale RAID 功能执行磁盘管理和 RAID
- 出色的容量和性能
DSS 产品概述
IBM Spectrum Scale 的分布式存储解决方案配置
下图显示了 2 种可用配置,即 G204(2xSR655 V3 和 4xD1224)和 G260(2xSR655 V3 和 6xD4390)。有关所有可用配置,请参阅型号部分。

与上一代产品相比,带有 ThinkSystem V3 的 DSS-G 的性能提高了一倍多,并且在单个构建块中支持高达 25% 的容量。它可以根据安装的驱动器数量或可用容量(而不是处理器内核的数量或连接的客户端的数量)进行许可,因此不会为挂载和使用文件系统的其他服务器或客户端添加许可证。
分布式存储解决方案 – 模型示例
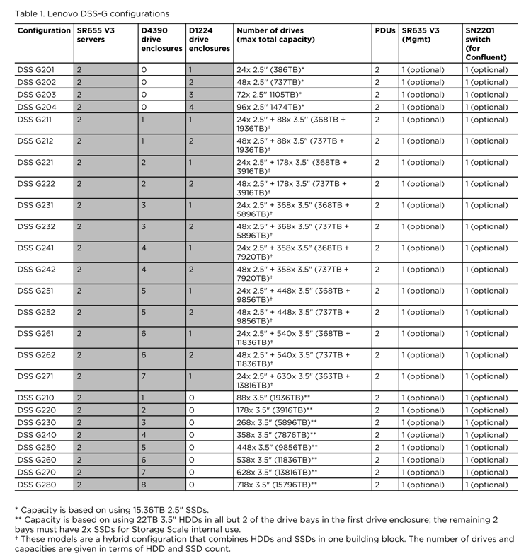
Lenovo DSS-G 的配置如下表所示。每个配置都安装在一个 42U 机架中,但多个 DSS-G 配置可以共享同一个机架。
命名约定:Gxyz 配置编号中的 3 个数字表示以下内容:
- x = 服务器数量 (SR655)
- y = D4390 驱动器存储模块的数量
- z = D1224 驱动器存储模块的数量
