近日,国家超级计算济南中心先进算法联合实验室研究团队关于线性化大气粒子的光散射方法方面的研究取得进展,将不变迭代T矩阵方法和物理几何光学方法分别进行了解析的线性化并应用于跨尺度的正六棱柱,获得其散射特性及其变化率,并根据结果对两种算法的收敛性和应用范围进行了讨论。相关研究成果发表在光学类期刊《Optics Express》上。

将数值精确算法-线性化不变迭代T矩阵方法(LIITM)和几何光学近似算法-线性化物理几何光学方法(LPGOM)共同应用于从小到大尺寸的正六棱柱的散射和相应的变化率计算,以获得粒子的散射特性及其相对于光学参数以及形状参数的变化率。两种方法的单次散射特性及其相应线性化结果进行了对比和相互验证。基于粒子散射线性化特性讨论了LIITM和LPGOM两种方法的性能及收敛性。
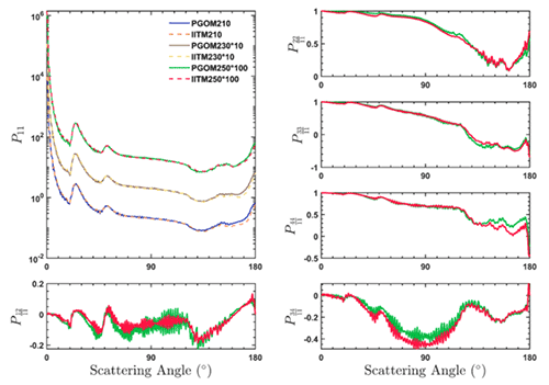
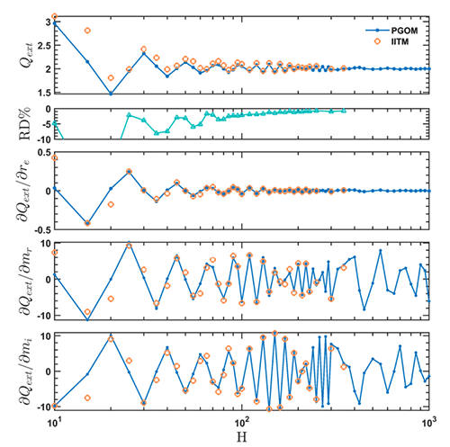
图1展示两种算法获得的散射相矩阵的六个元素,两种算法结果对应良好,其中P11为相函数表示散射分布,三种尺度粒子结果误差均小于0.1。相函数对应粒子有效半径以及折射指数实部虚部的变化率结果对比如图2,物理几何光学算法结果具有较强震荡,整体趋势与精确算法相同。

图. 1 两种算法相函数对比结果,子图分别为六个相矩阵。
 
图. 2 两种算法相函数对有效半径和折射指数实虚部变化率结果对比。
积分散射特性以消光效率为标准,估计算法收敛性。如图3 所示,LPGOM结果向精确方法LIITM收敛,尺度参数大于130时相对误差小于1%,尺度参数分别为50和30时,误差约为3%和5%。其他积分散射特性如单次散射反照率以及不对称参数的及其变化率随尺度增大变化趋势也进行了位相讨论。

图. 3 两种算法消光效率及其变化率随尺度变化趋势,及两种算法消光效率相对误差。
所开发的线性化算法可以用于产生线性化的粒子散射数据库,为进一步使用物理反演算法反演粒子微物理性质提供算法和数据库基础。
国家超级计算济南中心先进算法联合实验室简介:
先进算法联合实验室(以下简称“实验室”)依托国家超级计算济南中心国家级平台优势,联合中国科学技术大学、中国科学院大学、复旦大学等国内顶尖科研院所专家学者共同建立。实验室致力于开展具有战略性、原创性、前瞻性的理论创新和关键技术攻关,实施并推广先进算法在聚变能源、核物理、核工程、大气科学、空间物理等国家重大科技方向的研究和应用。坚持“四个面向”,力争在各科研方向解决关键问题、取得重要突破,为不断攻克前沿科技创新难题和探索跨学科的科学体系做出重要贡献。
原文链接:
https://opg.optica.org/oe/fulltext.cfm?uri=oe-30-21-37769&id=507400
标题:
Sun, B., Gao, C., Liang, D., Liu, Z., & Liu, J. (2022). Capability and convergence of linearized invariant-imbedding T-matrix and physical-geometric optics methods for light scattering. Optics Express, 30(21), 37769-37785.